Webové prehliadače, časté spôsoby prieniku škodlivého kódu do PC, užívatelia aktualizujú na nové verzie s výrazne rozdielnymi rýchlosťami. Zistila to štúdia Stefana Freia zo Švajčiarskeho federálneho inštitútu technológií a Thomasa Duebendorfera z Google.
Štúdia bola vypracovaná na základe verzií prehliadačov, ktoré prehliadače posielajú webovým serverom. Zdrojom dát boli logy návštevnosti vyhľadávača Google.
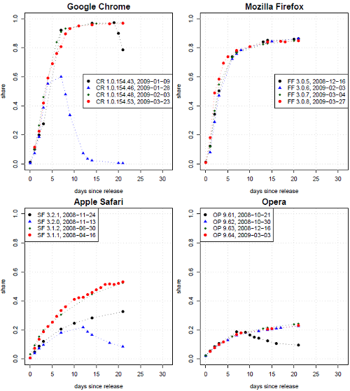
Štúdia zistila, že rýchlosť aktualizácie na nové verzie očakávane závisí na spôsobe aktualizácie a najmä miere automatickej aktualizácie toho ktorého prehliadača.
Štúdia preverovala rýchlosť aktualizácie u Chrome, Firefoxu, Safari a Opery. Internet Explorer je aktualizovanými bezpečnostnými aktualizáciami, ktorých inštalácia sa vo verzii prehliadača zasielanej webovým serverom neodráža a preto stav aktualizácie Internet Explorera nie je možné zistiť z logov webových serverov.
Výrazne najrýchlejšie začínajú používať novú verziu prehliadača podľa zistení štúdie užívatelia Chrome, ktorý kontroluje dostupnosť nových aktualizácií každých päť hodín a aktualizuje sa automaticky. Nová verzia sa začne používať rovnako ako u všetkých prehliadačov po reštarte prehliadača, na ktorú užívateľ v prípade automatickej aktualizácie nie je u Chrome vyzvaný.
Rýchlosť aktualizácie jednotlivých verzií prehliadačov (graf: Frei a Duebendorfer)
U Chrome po piatich dňoch od vydania novej verzie túto používa typicky medzi 70% až 80% užívateľov Chrome, po desiatich dňoch už viac ako 90% a dvadsiatich dňoch viac ako 95% užívateľov.
U Firefoxu je inštalácia pomalšia a po dvadsiatich dňoch sa pohybuje približne na úrovni 85%. Najpomalšia je inštalácia u Opery 9.x, kde najnovšiu verziu po dvadsiatich dňoch podľa štatistík Google používa len približne 25% užívateľov.
Porovnanie rýchlosti aktualizácie jednotlivých prehliadačov (graf: Frei a Duebendorfer)
U Chrome, Firefoxu aj Opery s výnimkou nových verzií, ktoré boli po niekoľkých dňoch nahradené ďalšou novou verziou, je rýchlosť aktualizácie u všetkých verzií z posledného obdobia prakticky rovnaká. U Safari bola vzhľadom na rozličné spôsoby aktualizovania rýchlosť rozdielna u verzií 3.1.x a 3.2.x.
Štúdiu je možné nájsť tu.
| |
|
|
|
|
|
|
|
|
|
|
|
|
|
|
|
| |
Na co je to dobre?
Od reg.: jofo1
|
Pridané:
7.5.2009 10:22
Neviem aky vyznam ma takyto prieskum? Vsak napriklad Opera okamzite informuje o novej aktualizacii uzivatela. Ak si ju ten nenainstaluje tak to nie je chyba prehliadaca. Aku vypovedaciu hodnotu o kvalite prehliadaca ma potom takyto prieskum, ak nie ucelovu?
|
| |
Re: Na co je to dobre?
Od reg.: ujo Ivo zablokovany 2. krat!
|
Pridané:
7.5.2009 10:32
Moj Chrome ma ani raz neupozornil na aktualizaciu. Predpokladam, ze to automaticky riesi Google Updater proces, ktory slape rezidentne a poza uzivatelov chrbat aktualizuje made by Gooogle softy. Preto ma Chrome tak rychly cas nasadenia verzii voci inym prehliadacom.
|
| |
Re: Na co je to dobre?
Od reg.: ipc422
|
Pridané:
7.5.2009 11:18
Presne tak. Chrome sa aktualizuje automaticky na pozadí, ani o tom neviem. Opera síce upozorní, ale musíš si to "spraviť sám" - stiahnuť, nainštalovať, prehádzať znovuvytvorené ikony... No otrava, takže sa tomu ani nečudujem :-)
|
| |
Re: Na co je to dobre?
Od reg.: lubos679679
|
Pridané:
7.5.2009 13:01
Radsej si to poprehadzujem a necham sa pootravovat, akoby mi nejaky proces googleupdate.exe mal sam aktualizovat software.
Preto ani nemam Chrome. Pri instalacii sa nespyta kam chce ist, a nespyta sa ci chcem automaticky aktualizovat. Nemam rad ked mi PC ovlada niekto iny (v tomto pripade Google).
|
| |
Re: Na co je to dobre?
Od reg.: hogo1
|
Pridané:
7.5.2009 13:20
no mozno tebe sa to chce furt robit, ale mnohym ostatnym asi nie ;) Tie praktiky googlu sa mi tiez nepacia, to ti davam za pravdu. Ja pouzivam firefox a ten ma upozorni a pri najblizsom restarte browseru sa nainstaluje. Nemusim nic stahovat rucne a ani instalovat. Tak nevidim az taku strasnu vyhodu tej opery
|
| |
Re: Na co je to dobre?
Od reg.: DeeerDance
|
Pridané:
7.5.2009 14:25
vyhoda je moznost volby.
|
| |
Re: Na co je to dobre?
Od: Kofola
|
Pridané:
7.5.2009 16:52
Opera je v updatovani blba. Ja mam doinstalovanu slovencinu a vtedy Opera papuluje, ze neexistuje update, lebo SK verziu nepozna. A pritom staci stiahnut novu verziu a spravit upgrade. Vsetko bezi ako ma a aj slovencina zostane.
|
| |
Re: Na co je to dobre?
Od: MuadDib
|
Pridané:
7.5.2009 17:44
A odkiaľ máš tú slovenčinu?
Ja som to kedysi aj chcel preložiť (už asi pred 6 rokmi), ale akosi som si do dnešného dňa nenašiel čas to dokončiť.
Celkom by sa mi to zišlo, nasadil by som to mame, ktorú som už naučil používať Operu, teraz má verziu 10 a asi každý týždeň jej inštalujem novšie zostavenie z blogu.
|
| |
Re: Na co je to dobre?
Od: inzercia
|
Pridané:
7.5.2009 19:46
tu najdes vsetko potrebne..
tiny.cc/Eh5WT
|
| |
Re: Na co je to dobre?
Od: MuadDib
|
Pridané:
8.5.2009 10:32
Ďakujem veľmi pekne.
|
| |
Re: Na co je to dobre?
Od: Deer
|
Pridané:
8.5.2009 8:44
Ad Chrome: nesprava sa podobne botnet? Ten sa tiez kdesi pravidelne pripaja a ak najde aktualizaciu, ihned sa aktualizuje.
|
| |
Re: Na co je to dobre?
Od: SPX
|
Pridané:
7.5.2009 11:21
aky to ma vyznam? taky ze najdenu chybu v opere po 20dnoch od vydania zaplaty bude mat opravenu len 25% ludi...u chrome to bude 95% a u FF 85%
|
| |
chrome je asi chromeee :)
Od: fitipaldy
|
Pridané:
7.5.2009 10:27
mam otazku na DSL.sk, preco my zobrazi rozdielnu velkost textu na vasej stranke v chrome v porovnani z IE?
nazvy newsiek su takmer necitatelne.
..chrome je fajn, vsetky stranky zobrazi korekte az na vasu stranku.. mam rozlisenie nastavene na 1440x900.
neviem ako u inych ale mne to zobrazi takto..
http://img228.imageshack.us /img228/700/chromevsie.jpg
|
| |
Re: chrome je asi chromeee :)
Od reg.: ujo Ivo zablokovany 2. krat!
|
Pridané:
7.5.2009 10:37
IE OK, Chrome male pismena, FF OK, Opera ma mierne zmrveny text (ak je v slove diakritika, nasledujuci font je mensi).
|
| |
Re: chrome je asi chromeee :)
Od reg.: hogo1
|
Pridané:
7.5.2009 13:36
to s tou diakritikou mam problem vo firefoxe odjakziva. Ale uz tu to radsej ani nespominam, lebo by som za to dostal zrejme ban. Lebo hocijaka kritika sa tu miestnym feudalom nepaci. My pospolity lud mozme akurat citat clanky, pisat chvaly do diskusia a hlavne klikat na bannery :)
|
| |
Re: chrome je asi chromeee :)
Od: TvojaMama.sk
|
Pridané:
7.5.2009 23:36
Presne:) Alebo stačí troška kritizovať redaktora, že nevie skloňovať a behom 5 minút máš ban...
|
| |
Re: chrome je asi chromeee :)
Od reg.: Y x u s
|
Pridané:
7.5.2009 11:00
aj ja mam chrome a mam to rovnako ako ty...
|
| |
Re: chrome je asi chromeee :)
Od: TvojaMama.sk
|
Pridané:
7.5.2009 23:37
Chrome je ešte v plienkach. Pokiaľ mu nespravia normálnu inštalačku aby som si vedel vybrať kde bude ten balast inštalovaný neprejdem na neho aj keď je rýchlejší. Tá inštalácia mi vadí, neviem si pomôcť.
|
| |
Re: chrome je asi chromeee :)
Od: madafak
|
Pridané:
7.5.2009 11:49
podla mna to robi WebKit jadro a typci na dsl.sk to nemaju nijako osetrene ved uplne kaslu na aktualizaciu a korekciu stranky a designu, staci sa pozriet na ten ich slavny update . dsl . sk :) dufam ze ma za to nezabanuju.. Ten maly text robi ako na Chrome tak aj na Safari, aj na IphoneSafari, prakticky vo vsetkych prehliadacoch kde je WebKit jadro
|
| |
Re: chrome je asi chromeee :)
Od: Mumsito
|
Pridané:
7.5.2009 18:16
Aj mne to robi na Safari odkedy ho pouzivam cize odkedy vysla prva verzia na win.
Ten update je dost smutna zalezitost. Verzia iTunes 7.0.2 a uz mam nainstalovanu 8.1.1
|
| |
Re: chrome je asi chromeee :)
Od: milan.ko
|
Pridané:
7.5.2009 13:19
Zjavne chyba v styloch na stranke (neskumal som dopodrobna), kedze kazdy prehliadac to robi inak, takze dsl.sk by si to mali dat doporiadku
|
| |
Re: chrome je asi chromeee :)
Od: ceco99
|
Pridané:
7.5.2009 15:50
no problem asi niekde inde ...
obrazok.eu/files/y7if153ex6gw4ravfczl.png
|
| |
Re: chrome je asi chromeee :)
Od: ceco99
|
Pridané:
7.5.2009 15:51
bude*
|
| |
Re: chrome je asi chromeee :)
Od: fitipaldy
|
Pridané:
7.5.2009 18:15
to ne tato uvodna stranka..tu zobrazi aj mne normal..
daj si speedmeter
http://www.dsl.sk/speedmeter.php
|
| |
porovnanie...
Od: mi0
|
Pridané:
7.5.2009 10:44
Tiež sa mi to porovnanie rýchlosti aktualizácie prehliadačov nejak nezdá. Zatiaľ čo Chrome je v štádiu vývoja a každý netrpezlivo čaká na novšiu verziu, pri Opere je ľudom väčšinou jedno, aký build práve používajú. Vedia, že asi ťažko bude niekto zneužívať chyby ich minoritného prehliadača (na to tu má deravé IE6) a tak updatujú len sporadicky prípadne ak vedia o nejakom probléme, ktorý update na novšiu verziu vyrieši (nepočítam nadšencov, ktorý každý piatok sledujú blog a čakajú na nové buildy)...
|
| |
Re: porovnanie...
Od: chyby v IE6
|
Pridané:
7.5.2009 19:06
a kto potrebuje hladat chyby v IE6 a hlavne pre koho, kvoli komu? :-)
|
| |
Chrome
Od: Chrome
|
Pridané:
8.5.2009 22:10
Ku podivu najrýchlejšie aktualizujú prehliadače Chromí užívatelia Firefoxu :-)
|
| |
Nestvite ma vam radim.
Od: Tmac
|
Pridané:
9.5.2009 8:34
Nabuduce chodte na lepsie zdroje. Toto je zatmievanie mozgu tych co este zostali ako tak inteligentny. Ved mi vsetci dobre vieme ze najlepsi, najbezpecnejsi, najaktualizovanejsi a hlavne najrychlejsi je Browser od firmy Apple. Ved takyto program spolu s dalsimi desiatimi v takej astronomickej cene produktu maju kvalitu danu uz pri prvych napadoch tvorby. Ziadny chrome ani FireFox sa mojmu apple MAC nevyrovna. Ja mam styl a preto si vyberam. Tato reklama ma nijak nenadchla lebo viem co je pravda a co loz. A mili moji. Mac je trieda. Mac je neporazitelny.
|
| |
12345
Od: chr
|
Pridané:
10.5.2009 11:38
škoda že hodnotenie pod tvojim komentom sa nedá znížiť ešte viac
|